Unconventional Warfare (UW): Activities conducted to enable a resistance movement or insurgency to coerce, disrupt, or overthrow a government or occupying power by operating through or with an underground, auxiliary, and guerrilla force in a denied area.
Los Zetas were the highly-trained enforcers of the Gulf cartel made up of supposed deserters from the Mexican special forces known as the Grupo Aeromóvil de Fuerzas Especiales (GAFE). The GAFES were formed in 1986 as an elite quick reaction force specializing in counterinsurgency and unconventional warfare. When the North American Free Trade Agreement went into effect in 1994, the GAFES received combat experience in the brutal fight with the leftist Ejército Zapatista de Liberación Nacional (EZLN) in Chiapas. According to reporting by Carlos Marin, the army sent the GAFES to Chiapas to create paramilitary forces and displace the population in order to break the support of the people for the EZLN, an approach which would be used against organized crime years later. In Ioan Grillo's book El Narco, he describes how the mutilated bodies of rebels captured by the GAFES were dumped along a riverbank in the Las Margaritas municipality with their ears and noses sliced off, the sort of spectacular violence that Los Zetas would later standardize in the Drug War.
Some of the original members of Los Zetas are said to have been trained by the U.S. at the notorious School of the Americas, although accounts vary about exactly who, where and when. Some say it was at Ft. Benning in Georgia, others at Ft. Bragg in North Carolina, while other rumors suggest it was at Ft. Hood in Texas. According to Lt. Col. Craig Deare (retired), the former Academic Dean of the Center for Hemispheric Defense Studies and a former Special Forces Commander, it's likely that more than 500 Mexican GAFES received training from U.S. special operations forces (SOF).
According to reporting in Al Jazeera:
Some of the cartel’s initial members were elite Mexican troops, trained in the early 1990s by America’s 7th Special Forces Group or “snake eaters” at Ft. Bragg, North Carolina, a former US special operations commander has told Al Jazeera.
“They were given map reading courses, communications, standard special forces training, light to heavy weapons, machine guns and automatic weapons,” says Craig Deare, the former special forces commander who is now a professor at the US National Defence University.
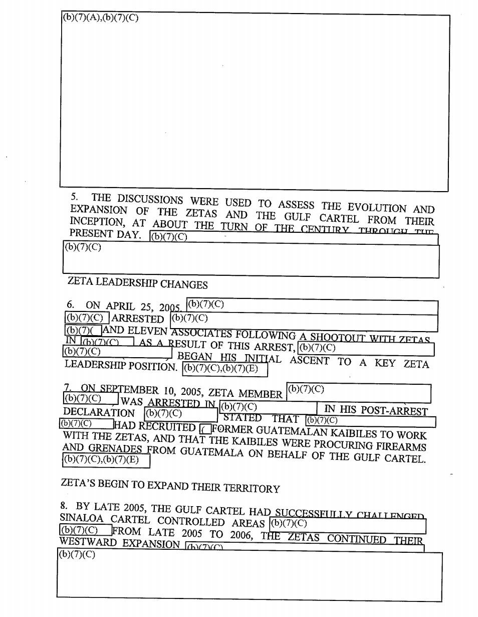
“I had some visibility on what was happening, because this [issue] was related to things I was doing in the Pentagon in the 1990s,” Deare, who also served as [Mexico] director in the office of the US Secretary of Defence, says.
The 7th Special Forces Group (SFG) of the U.S. Army specializes in unconventional warfare, foreign internal defense, direct action, counterinsurgency, special reconnaissance, counterterrorism, information operations, and security force assistance, among other things. In the 1980s during the Reagan administration, they fought with and trained special operations forces and paramilitaries in El Salvador, Guatemala, Honduras, Panama, Colombia, Peru, Bolivia and Venezuela.
Between 1996 and 1999, 3,200 soldiers, including at least 500 GAFES, were reportedly trained by the 7th SFG in the U.S. to create elite "counternarcotics" forces.
In 1997, Arturo Guzmán Decena, also known as El Zeta-uno (Z-1) supposedly defected along with other GAFE soldiers to work as enforcers for the Gulf cartel in Tamaulipas. They came to be known as Los Zetas.
Los Zetas changed the way that organized crime operates in Mexico. The military tactics which they standardized and their supposed fights over territory were used to justify President Felipe Calderón's decision to deploy the military to prosecute La Guerra contra el Narcotráfico in December 2006 and its associated consequences.
Los Zetas also supposedly recruited from other U.S.-trained SOF, like the Guatemalan Kaibiles. According to a DEA memo from July 2009, Los Zetas were allegedly recruiting Kaibiles since at least 2005.
The Kaibiles have been trained by U.S. since the 1970s. Created as an elite counterinsurgency force during the Cold War, the U.S. Army's 7th SFG has trained an unknown number of Kaibiles. Between 1999 and 2010, 3,555 Guatemalan soldiers, many of them Kaibiles, were trained by the US through the School of the Americas (later renamed the Western Hemisphere Institute for Security Cooperation, or WHINSEC), and other U.S. training programs.
The methods of the Kaibiles are notoriously barbaric. In training, they're given a puppy to look after and bond with for several weeks. At the end of training, the recruits are required to kill the animal using their bare hands, drink the blood and eat the flesh, a method which reportedly has diffused to the Mexican GAFES and other security forces throughout the world who train with the Kaibiles. They are taught to kill without mercy or thought. Their motto is: "Si avanzo, sígueme. Si me detengo, aprémiame. Si retrocedo, mátame! / If I advance, follow me. If I stop, urge me on. If I retreat, kill me!"
In 1982, the Kaibiles massacred 226 people in the Dos Erres village in Guatemala. According to the United Nations Truth Commission Clarification, the Kaibiles arrived in the middle of the night and accused the residents of being guerrilla sympathizers. The smallest children were killed by smashing their heads against various hard surfaces, while older children were killed with hammers. Adults were interrogated and tortured, one by one, and the women were raped. Fetuses were cut out of pregnant women. After the interrogation, the adults were also killed with hammers and the corpses were dumped in a well.
A few years later, one of the officers who had supervised the massacre at Dos Erres, Pedro Pimental Rios, became an instructor at the School of the Americas. He was extradited from the U.S. in 2012 and sentenced to 6,060 years in prison for his involvement in the massacre. Jose Mardoqueo Ortiz Morales, another former Kaibil involved in the Dos Erres massacre, was arrested in Maryland in 2017. Many other School of the Americas alumni were eventually charged with crimes against humanity years after the fact. The United Nations Truth Commission Clarification later determined that 93% of the violence during the 36-year conflict in Guatemala was perpetrated by the U.S.-supported security forces.
According to a declassified Defense Intelligence Agency (DIA) memo from 1994, intelligence sources described clandestine graves outside of a Guatemalan military facility. The memo reported how Guatemalan soldiers would fly captives over the ocean before pushing them out of helicopters to their deaths.
After the end of the Cold War, rather than disbanding the Kaibiles, they were repurposed to fight the United States' new greatest threat to national security: drugs. According to a story from 2015 on the U.S. Special Operations Command (SOCOM) website, the 7th SFG continues training the Kaibiles.
According to documents obtained through Freedom of Information Act requests, from 2007 to 2014, U.S. SOF training tripled in Latin America, mostly in the area of responsibility of U.S. SOUTHCOM (i.e. the Caribbean, Central and South America). The U.S. continues training with the Kaibiles to this day.
In a 2007 academic paper on a model for command and control (C2) by the Special Operations Command - South (SOCSOUTH), the authors outlined a new distributed model for conducting the global war on terror in the area of responsibility (AOR) of the U.S. Southern Command (SOUTHCOM). The AOR of U.S. SOUTHCOM includes all of Central and South America and the Caribbean. According to the paper:
Conducting command and control in combat environments is very different from performing it in non-combat environments. One of the major differences between the two environments is the issue of “the objective.” The mission objective will determine many aspects of the C2 structure. The [conventional] definition of C2 is well suited for the combat environment where objectives are clear and the USMC definition is better suited for counterinsurgency and non-combat environments, where the objectives are more ambivalent.
In standard military maneuver operations where missions such as “attack that position,” are clearly defined, the [conventional] definition of C2 is sufficient. However, in an ambiguous environment where SOF often operates, the mission (e.g., plan and execute UW [Unconventional Warfare]) is not as clearly defined. As a result, a special operator in the field must be able to operate with maximum authority, flexibility, and agility to respond to immediate changes emerging from dynamic situations. The USMC definition reflects precisely how SOCSOUTH’s staff currently approaches C2 in its theater of operations.
…
The leadership of Special Operations Command-South (SOCSOUTH) recently initiated a new concept for the command and control (C2) of its operations. This new concept, called distributive C2, seeks to improve speed, increase flexibility, facilitate interagency integration, and achieve innovation in a military staff bureaucracy.
In a 2008 academic paper from the United State Marine Corps Command and Staff College at the Marine Corps University in Quantico, Virginia, Major Juan C. Arango described modern warfare from the perspective of the Colombian military. According to the Major:
The enemy's ability to disperse in small units employing guerrilla tactics against conventional forces compels the regular armies to seek changes in doctrine. One of the alternatives to counter this opponents' advantage is to incorporate the use of distributed operations.
Distributed Operations describes an operating approach that will create an advantage over an adversary through the deliberate use of separation and coordinated, interdependent, tactical actions enabled by increased access to functional support, as well by enhanced combat capabilities at the small-unit level.
…
Special Operations Forces are small units that work alone or in combination with one another in both direct and indirect military operations, often using tactics of unconventional warfare. The use of unconventional tactics is essential in modern warfare. The enemy employs different types of unconventional tactics and the only way to gain advantage against him is to do the same. [emphasis added]
In an academic paper from 30 March 2010 from the United State Marine Corps Command and Staff College at the Marine Corps University in Quantico, Virginia, Major Joseph T. Beals, USMC, elaborates his thesis as follows:
The best support the Department of Defense (DoD) can provide to help the Mexican government strengthen their security institutions are the skills of the U.S. Special Operations Forces (SOF).
According to Major Beals:
Some analysts argue any type of military presence results in the larger militarization of the situation. Timothy Dunn argues, "while theoretically designed to be used selectively, these measures often led to widespread repression and human rights abuses, including, in a disturbing number of cases, "death squads" the ultimate means of securing social control in El Salvador, Vietnam and Guatemala." Dunn argues there has been a great build up and militarization along the border in a silent way. Despite suggesting the border militarization starting in 1978, Dunn provides no documented cases of military atrocities on the border.
Another issue many critics still recall is the School of the Americas (SOA). The school provided training to military members of Latin American countries. After originating in Panama in 1963, it moved to Fort Benning, GA, in 1984 as Panama prepared to assume control of the canal. Unfortunately, several of the students that graduated from the school later turned against their rightful head of state and organized rebellions or coups. This brought considerable attention to the program. People questioned what the Americans were teaching at the SOA. Lesley Gill asserts the U.S. government used the school to utilize Latin American security forces as "extensions of its own power in Latin America and internationalized state sponsored violence." The school received criticism because questionable methods of interrogation and outright execution techniques were allegedly part of the curriculum. The school disbanded in 2000 then reopened in 2001. The school is still located at Fort Benning and known as The Western Hemisphere Institute for Security Cooperation. Despite the new name and modern curriculum, the history of the school is still a sensitive subject. While fielding questions about *Honduras in 2009 [*referring to the 2009 coup in Honduras], the Department of State Western Hemisphere Director Arturo Valenzuela was asked about the School of Americas.
The SOA story continues as far as modern day Mexico is concerned too. The elite Mexican Special Forces, Grupo Aeromovil de Especiales (GAFE), have members who attended the SOA. Unfortunately, some of these highly trained individuals gave into corruption and formed their own criminal enterprise, the Zetas. The Zetas, along with several other private entities, have taken over areas where the Mexican government has no influence.
Without any detectable traces of self-awareness or irony, Major Beals then immediately goes on to describe why the U.S. SOF are the best solution to Mexico's insecurity. According to the Major:
SOF is the best U.S. military unit to conduct Foreign Internal Defense (FID), Security Assistance (SA), and Security Force Assistance (SFA). … SOF units are the best solution for this mission for several reasons. First, the footprint of a Special Operations unit is much smaller than that of a regular sized conventional unit. … Secondly, SOF units are subject matter experts and able to provide excellent training within several keys areas of interest for Mexico.
…
The biggest restraint to U.S. assistance is Mexico's constitution. The Mexican constitution prohibits the presence of foreign troops on their national territory without approval from the Mexican Senate. In addition, those troops need special permission to carry weapons. Lastly, SOF personnel will not be permitted to participate in direct action operations; their presence is to train and advise only.
…
U.S. military experience in El Salvador, Columbia, the Philippines, Iraq and Afghanistan would be of great value to the Mexican military [emphasis added]. The 'Columbia plan'…was executed by the U.S. Southern Command and is an excellent template for counterdrug/security building in Mexico. In Columbia SOF personnel were used to "teach intelligence collection, scouting, patrolling, infantry tactics, and counterterrorism." The SOF role in Columbia was that of advisors and the U.S. units were, "forbidden to participate in counterinsurgency operations." While utilizing SOF units in Mexico, the same restriction would more than likely be in place. Another outstanding example of the use of SOF in an advisory role took place in El Salvador in 1981. The U.S. congress approved the use of 55 soldiers to train and advise the El Salvadorian army. In 5 years, that army grew from 20,000 to 56,000 troops. A training facility created in El Salvador ensured the police became a better force and cut down on human rights violations.
In June of 2010, during the Partnership of the Americas and Southern Exchange, U.S. Marine and Navy forces travelled to Manzanillo, Colima to train with Mexican Marina. The U.S. Marines were from Charlie Company, 3rd Amphibious Assault Battalion, 1st Marine Division. The Navy forces were not specified. The U.S. Marines taught military operations in urban terrain (MOUT), which essentially means room clearing, as well as knife fighting and hand-to-hand combat.
One month later, on 29 July 2010, the Mexican Marina killed Sinaloa cartel boss Ignacio "Nacho" Coronel, the "King of Crystal", in a raid in Zapopan, Jalisco. Nacho Coronel smuggled multiple tons of cocaine from Colombia through the Pacific. His niece, Emma Coronel, was married to Joaquín "El Chapo" Guzmán.
After Nacho Coronel was killed, the Milenio cartel—which had supposedly begun to come apart (whatever that means) following the arrest of Óscar Nava Valencia in October 2009—was pronounced (by officials) to have fractured into two new factions: "La Resistencia" and "Los Torcidos". I'm not going to spend much time on this because it's all horseshit. To make a long story short, "Los Torcidos", with a presence in Colima, Jalisco and Michoacán, later became Cártel Jalisco Nueva Generación (CJNG) and were supposedly led by Nemesio Oceguera Cervantes, also known as "El Mencho". Insight Crime has a carefully-worded summary of the official narrative about it all.
In September of 2010, 40 U.S. Marines from Alpha Company, 2nd Assault Amphibian Battalion from Marine Corps Base Camp Lejeune, N.C. traveled to Poptun, Guatemala to train with the Kaibiles as a part of the Subject Matter Expert Exchange (SMEE) program. According to a press release about the SMEE on the Defense Visual Information Distribution Service website:
Poptun Kaibil Training Camp is where the Guatemalan Army trains its regular Army soldiers to become Kaibiles, or elite warriors specializing in jungle warfare and counter-insurgency operations.
In March 2009, the security forces in Guatemala claimed they found a training camp used by Los Zetas at a ranch in Quiche. Everyone fled when the security forces arrived and got away apparently. A month later, after a deadly shootout in Guatemala city, security forces seized thousands of small arms, grenades and ammunition purportedly from "Los Zetas" which had all come from the Guatemalan military.
The "Mata-Zetas" made their debut on 19 June 2009 in Cancún, Quintana Roo. They executed 5 people, and dumped the bodies in a public place with their heads and faces wrapped in duct tape. They left a note with the victims, which read:
We are the new group 'mata zetas' and we are against kidnapping and extortion, and we are going to fight against them in all the states for a cleaner Mexico
True to their word, the Matazetas began making appearances all over Mexico between from 2009 to 2011, in Guanajuato, Veracruz, Michoacán and Guerrero, among other places.
By far the strangest sequence of events involving the Matazetas came after an incident where 49 bodies were left in the streets of Boca del Rio, Veracruz on 23 September 2011. A day later, a group that claimed they were the "Matazetas" released a video message claiming responsibility for the killings and apologizing to the public. They did a brilliant but long-winded impersonation of the Matazetas.
On 27 September 2011, three days later, the Matazetas made another appearance, this time heavily armed in the fashion that "CJNG" would standardize in their propaganda. According to reporting from Animal Politico:
In that statement, the hitmen of the Jalisco Nueva Generación Cartel assure that 'since 2006 we have been fighting for the tranquility and safety of each and every one of our Jarocho countrymen,' whom they asked to denounce any zeta they are aware of, but not before the police, but only before the Army and the Navy, the only corporations that 'until now have not been corrupted with their money offers in this state,' while, they clarified, 'for what corresponds to us, we will in our own way: we have given the sample by killing each one of the Zetas that we grab.'
Over time, "Los Torcidos" in Jalisco, Colima and Michoacán and "Los Matazetas" in Veracruz and Quintana Roo began to be recognized as a single entity: the Cártel Jalisco Nueva Generación.
In August 2012, it was reported that 200 U.S. Marines were sent to Guatemala to patrol along the Pacific coast in Operation Martillo which began on 15 January 2012. The U.S.-led operation involved military personnel or law enforcement agents from Belize, Britain, Canada, Colombia, Costa Rica, El Salvador, France, Guatemala, Honduras, the Netherlands, Nicaragua, Panama and Spain.

According to an article from Marine Times which was first published on 7 July 2014:
U.S. Marines have worked closely with their Colombian counterparts for generations — particularly over the past decade — and the Colombians are now sharing that expertise with friendly nations across the Americas
"Right now, we are already developing training activities with allies like Panama, Costa Rica, Guatemala, Honduras and the Dominican Republic," Maj. Gen. Hector Pachon Cañon, the Colombian marines' commanding general, told Marine Corps Times. "In those countries right now are Colombian marines, spreading training we received from the United States Marines."
The influence of the U.S. Marines is apparent in everything the Colombians do, from their boot camp and uniforms to the importance they place on ethos and noncommissioned officers' leadership traits, said Maj. Mike Alvarez, a spokesman with Marine Corps Forces South.
…
"Senior U.S. officials in State and Defense will tell you that the mil-to-mil relationship between the United States and Colombia is the best they have ever seen anywhere in the world," Coffman said. "The Colombians will tell you that a number of [their] marines are alive today because of their training partnership with the United States Marine Corps, which has made them more lethal, more survivable, and more agile in the long and difficult fight to save their country from the narco-traffickers."
Over the past decade, the number of Colombian marines has grown by almost half, from 16,000 to 23,000, Alvarez said. As they expanded, the Colombians adapted the way the Corps trained and cultivated its Marines — from entry level all the way up through their military occupational specialties, Pachon said.
One of the most spectacular incidents involving the CJNG came on 1 May 2015 during Operation Jalisco, in which a helicopter was reportedly shot down by the elite "praetorian guard" supposedly protecting the cartel's leader, El Mencho, near Villa Purificación, Jalisco. In a prelude to the spectacle in Culiacán four years later, after the helicopter was apparently shot down, people supposedly loyal to El Mencho mobilized simultaneously in four states, burning vehicles and erecting blockades. According to a column in Estado Mayor about the incident, Juan Velediaz wrote the following:
The criminal group in charge of the security of Nemesio Oceguera Cervantes, leader of the Jalisco Nueva Generación Cartel, is a mixture of mercenaries of different origins. They are the “stateless”, as General Salvador Cienfuegos Zepeda, Secretary of National Defense, called them. They are responsible for the death of eight elite soldiers and a Federal Police agent, who died after the downing with an RPG-7 grenade launcher of a troop transport helicopter. This group demonstrated a level of training rarely seen in the country, unprecedented on a geographical scale that covered four entities. How was it possible that more than a hundred simultaneous offensive actions were not planned in advance? Why did the military intelligence fail and the narco set up a deadly ambush only possible with inside information?
In the early hours of Friday, May 1, Major General Miguel Gustavo González Cruz could not believe the reports he received in real time. The commander of the fifth military region, which encompasses the military zones of five western states of the country, was in constant communication with his colleague, fellow divisional Roble Arturo Granados Gallardo, chief of the National Defense Staff. A command that acted as the first “ring” of protection for Nemesio Oceguera Cervantes, leader of the criminal organization calling itself the Jalisco Nueva Generación Cartel (CJNG), had made contact with the aircraft that was at the forefront of the operation launched that morning to stop him.
The outfit in charge of capturing [El Mencho] was not just any army unit. It was a section, around 40 troops, of members of the GAFE (Special Forces Aircraft Group) of the High Command, belonging to the Special Forces Corps of the Mexican Army and Air Force, a unit commanded by Brigadier General Miguel Ángel Aguirre Lara. The elite soldiers had been attacked from the ground by RPG-7 rocket launchers and had been targeted by assault rifles from different points. The support aircraft managed to target several of the attackers, but as the minutes passed, the criminal leader's "ring" of protection had managed to cover his flight after shooting down the helicopter that was in the vanguard and that was carrying the troops that would specify the detention. This blow would ruin the operation.
That was one of the reasons that made Generals González Cruz, Granados Gallardo and Brigadier Aguirre Lara extremely concerned. The troops had made contact with a special corps that guarded Oceguera Cervantes, the group had been identified for some time, it was known that it consisted of deserters from the Mexican army, who acted supported by former Guatemalan soldiers and some former US Marines who offered their services to the drug cartels via their contacts in Central America. Members of this group were those who allegedly trained the so-called “matazetas”, the paramilitary body that appeared in Veracruz three years ago and who are known to operate in areas of the Gulf, the State of Mexico and Michoacán where their enemies are present.
Military sources consulted in Jalisco and Mexico City agreed that the idea of maneuver, reaction capacity, planning techniques and the use of more sophisticated weapons was something that some of the members of the group were known to be prepared for that guarded "Mencho". Those protecting him would be "latest generation" mercenaries, "soldiers of fortune", some with experience in Afghanistan and Iraq, retired and others discharged, who offer their services as praetorian guard of the leader of the CJNG, said a military source in the capital of the country.
This group was identified in recent days by journalists Raymundo Riva Palacio and Salvador García Soto, who separately recorded in their columns the possible participation of former US Marines in the reaction operation that shot down the helicopter and cost eight members their lives of the GAFE of the High Command and a federal policeman, and has between life and death as many.
What the federal forces did not tell about was that the group that guarded the "Mencho" also received intelligence information in real time, which allowed them to act in advance, prepare the counterattack and shield the escape from the Villa Purificación area, the Jalisco municipality where the helicopter was shot down, leaving seven dead at the scene, and several wounded, one of who later died in Mexico City.
Where was the "operational security" failure, in the planning, in the initial orders, or in the compartmentalization? Several military commanders asked hours after learning about the downing of the aircraft. The question received a concrete answer in the hours following the blockades in more than 25 municipalities of Jalisco, Colima, Michoacán and Guanajuato, with which the “infantry” of the CJNG responded.
Many immediately suspected the operation had "failed" due to leaks from the Federal Police, long suspected of ties to drug trafficking, who had participated in the operation. Jalisco Governor Aristóteles Sandoval and Attorney General Luis Carlos Nájera were also suspected at the time of playing a role in the failed operation. But perhaps there's another way to look at it.
On 3-5 April 2018, the Colombian Vice President, Óscar Naranjo, traveled to Mexico to "strengthen cooperation mechanisms." It was reported that the trip was to discuss operations of the Sinaloa and Jalisco Nueva Generación cartels in Colombian territory with Mexico's Attorney General's office. The trip was kept fairly quiet and mostly unnoticed by the national media.
On 22 May 2018, Jalisco Labor Secretary Luis Carlos Nájera, the former Attorney General during Aristóteles Sandoval's administration blamed for the failed operation to capture El Mencho, was attacked by gunmen and injured in a failed attempt on his life. A child was killed and 16 people were injured. The attack had many similarities with the failed attack on Omar García Harfuch on 26 June 2020. Both incidents were attributed to "CJNG".
The attack on Luis Carlos Nájera was the first action attributed to "Grupo Élite", a mysterious special forces group in the service of "CJNG".
After the attack on Nájera, Aristóteles Sandoval reportedly said in a press conference that CJNG recruited Colombians that “had experience and especially training on the subject of guerrillas or even the military." According to Sandoval, authorities in Jalisco had documented the presence of mercenaries for approximately four years since 2011. Sandoval stated that this information had been passed to the Attorney General's Office (PGR), about the training camps belonging to the "CJNG" which had been discovered in the state for the past five years, since 2010. According to Sandoval:
We told the PGR about this four years ago, we know what the training is like, what the operation is like and that is why it is important to find these camps that are generally installed in remote places like the mountains
On 1-2 June 2020, Mexico's Financial Intelligence Unit (UIF) in coordination with the U.S. Treasury Department froze over $1 billion USD in assets belonging to "CJNG" in Operation Blue Agave. Two days later, a photograph appeared on social media which showed a CJNG Grupo Élite logo with the Guatemalan Kaibiles famous slogan: Si avanzo, sígueme. Si me detengo, aprémiame. Si retrocedo, mátame!
On 17 July 2020, President Andrés Manuel López Obrador announced that control of the port in Manzanillo, Colima would be handed over to the Mexican military. Later that evening, CJNG Grupo Élite released a propaganda video unlike anything ever seen before. The video showed an intimidating convoy of 22 armored and painted vehicles and 74 men dressed impeccably in matching uniforms.
The next day, we geolocated where the video was filmed to a spot right outside of Tomatlán, Jaliscó approximately 4 km from a military base and 2 km from a police station.

In August 2020, the Colombian navy reported seizing a "narco-submarine" carrying more than a metric ton of cocaine off the coast of Tumaco, Nariño. They reported that the vessel belonged to CJNG and was headed for Mexico.
On 18 December 2020, Aristoteles Sandoval was assassinated in a professional hit in Puerto Vallarta, Jalisco. The killing was attributed to CJNG.
from Hacker News https://ift.tt/38l8ICc
No comments:
Post a Comment
Note: Only a member of this blog may post a comment.